Zımni Volatilite Yüzeyleri Üzerinde Tahmin
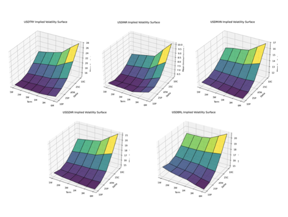
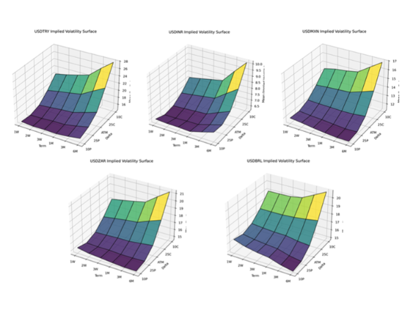
Bu çalışma, beş gelişmekte olan piyasa para biriminin (TRY, INR, MXN, ZAR ve BRL) ABD Doları karşısındaki zımni oynaklık yüzeylerinin modellenmesinde ARIMA, PCA-VAR, PCR ve İleri Beslemeli Sinir Ağları (FNN) dahil olmak üzere zaman serisi ve makine öğrenimi modellerinin tahmin gücünü araştırmayı amaçlamaktadır.
Araştırma, hem Genişleyen hem de Yuvarlanan Pencere yöntemlerini kullanarak Kök Ortalama Kare Hata (RMSE) metriğine dayalı model performansını değerlendirmektedir.
Bulgular, FNN ve PCR makine öğrenimi modellerinin, özellikle daha düşük volatilite sergileyen para birimleri için ARIMA ve PCA-VAR gibi geleneksel modellerden daha iyi performans gösterdiğini ortaya koymaktadır.
Çalışma, finansal tahminde model seçiminin önemini vurgulamakta ve makroekonomik veya jeopolitik faktörlerin dahil edilmesinin tahminin kesinliğini daha da artırabileceğini öne sürmektedir.
Proje Yılı: 2025
Proje Ortağı: Emrah Ahi, Eren Akansel, Levent Güntay ile ortak, Eren Akansel’in Yüksek Lisans Tezine dayanan bir akademik araştırma projesidir.




